
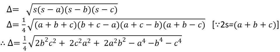
The area of triangle ABC with the given measurement as shown in fig is '
∆'. 's' is the semi-perimeter of the triangle such that 2s=(
).
We know, area of triangle is given by;

From Half-angle formula, we have,

1st Proof:

2nd Proof:
We have,

3rd Proof:
