Introduction:
A triangle consists of three side and three angles which is collectively known as the six elements. In a triangle ABC, the side opposite to ∠A is denoted by '
'
, the side opposite to ∠B is denoted by 'b' and the side opposite to ∠C is denoted by 'c'.
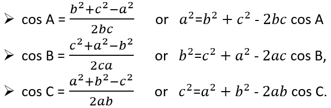
The circum-radius and the area of triangle are denoted by R and ∆ respectively. Also, s is the semi-perimeter of triangle such that 2s=(a + b + c) and r is the in-radius where as r1, r2, r3 are the ex-radii corresponding to the angles A, B, C.The Cosine Law
Click Here for the proof of Cosine Law.
The Sine Law
Click Here for the proof of Sine Law.
Click Here for the proof of Sine Law in terms of Circum-Radius.
The Projection Law
Click Here for the proof of The Projection Law.
The Half-angle Formulae
Click Here for the proof of The Half-angle Formula.
The Tangent Law
Click Here for the proof of Tangent Law.
The Area of a Triangle
Click Here for the proof of The Area Of a Triangle.