ask
mattrab
Old is Gold
Class Twelve
Back
Physics
Chemistry
Biology
Maths
Computer
English
Nepali
Economics
Account
Trivia
Philosopy
Social
Class Eleven
Back
Physics
Chemistry
Biology
Maths
Computer
English
Nepali
Economics
Account
Trivia
Philosopy
Social
Class Ten
Back
Science
Social
Eph
Maths
Computer
English
Nepali
Account
Economics
Opt math
Class Nine
Back
Science
Social
Eph
Maths
Computer
English
Nepali
Account
Economics
Opt math
Close Menu
Entrance
PLUS TWO Entrance
Back
Practice Set One
Practice Set Two
Practice Set Three
Practice Set Four
Practice Set Five
Practice Set Six
Practice Set Seven
IOE Entrance
Back
Practice Set One
Practice Set Two
Practice Set Three
Practice Set Four
Practice Set Five
Practice Set Six
Practice Set Seven
IOM Entrance
Back
Practice Set One
Practice Set Two
Practice Set Three
Practice Set Four
Practice Set Five
Practice Set Six
Practice Set Seven
BSC CSIT Entrance
Back
Practice Set One
Practice Set Two
Practice Set Three
Practice Set Four
Practice Set Five
Practice Set Six
Practice Set Seven
CMAT Entrance
Back
Practice Set One
Practice Set Two
Practice Set Three
Practice Set Four
Practice Set Five
Practice Set Six
Practice Set Seven
CAMBRIDGE Entrance
Back
Practice Set Thirty Three
Practice Set One
Practice Set Two
Practice Set Three
Practice Set Four
Practice Set Five
Practice Set Six
Close Menu
USA Guide
Introduction
Application
Todo in high school
Opportunity fund
Building application
Eca opportunities
English proficiency tests
Sat resources
Scholarships hunt
Visa process
Visa interview day
Prepare to fly
Gap year
Success stories
Know colleges
News
Close Menu
Let's MCQ
More
New Question
Close Menu
Log in with Google
or
Log in with email
Sign up with email
Rahul Bhujel
creator
6 Followers
Follow
Library
Questions
Stories
About
Sequence and Series
If x^2, b^2, y^2 are in AP, a, x, b and b, y, c both are in GP, prove that a, b, c are in AP.
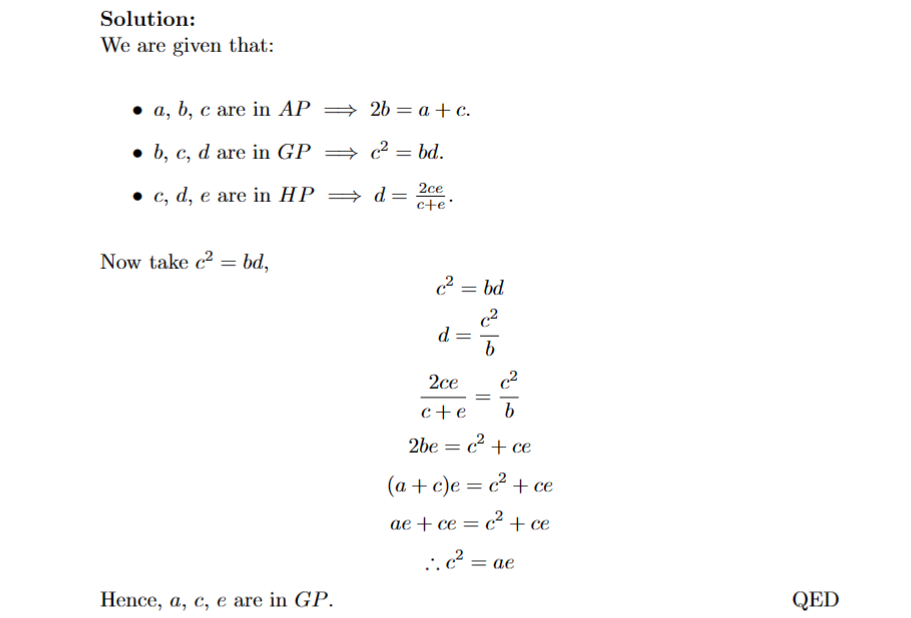
If a, b, c be in AP, b, c, d be in GP and c, d, e be in HP, prove that a, c, e are in GP.
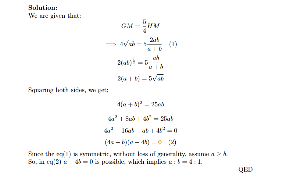
If GM and HM between two positive numbers a and b are such that GM=5/4 HM, prove that a:b=4:1.
Class Ten
10 Questions • 0 Notes
Maths
10 Questions • 0 Notes
Compound interest
Geometry: circle
Equations
Geometry: area of triangles and quadrilaterals
Class Eleven
3 Questions • 1 Notes
Maths
3 Questions • 1 Notes
Derivatives and its application
Sequence and series
Followers
Atith Adhikari
33 Followers
Pukar Kadel
3 Followers
PIYUSH KHADKA
0 Followers
Suhana Chaulagain
11 Followers
Kishor Kafle
1 Followers
Kaushal Ghimire
13 Followers
Close
Open App