ask
mattrab
Old is Gold
Class Twelve
Back
Physics
Chemistry
Biology
Maths
Computer
English
Nepali
Economics
Account
Trivia
Philosopy
Social
Class Eleven
Back
Physics
Chemistry
Biology
Maths
Computer
English
Nepali
Economics
Account
Trivia
Philosopy
Social
Class Ten
Back
Science
Social
Eph
Maths
Computer
English
Nepali
Account
Economics
Opt math
Class Nine
Back
Science
Social
Eph
Maths
Computer
English
Nepali
Account
Economics
Opt math
Close Menu
Entrance
PLUS TWO Entrance
Back
Practice Set One
Practice Set Two
Practice Set Three
Practice Set Four
Practice Set Five
Practice Set Six
Practice Set Seven
IOE Entrance
Back
Practice Set One
Practice Set Two
Practice Set Three
Practice Set Four
Practice Set Five
Practice Set Six
Practice Set Seven
IOM Entrance
Back
Practice Set One
Practice Set Two
Practice Set Three
Practice Set Four
Practice Set Five
Practice Set Six
Practice Set Seven
BSC CSIT Entrance
Back
Practice Set One
Practice Set Two
Practice Set Three
Practice Set Four
Practice Set Five
Practice Set Six
Practice Set Seven
CMAT Entrance
Back
Practice Set One
Practice Set Two
Practice Set Three
Practice Set Four
Practice Set Five
Practice Set Six
Practice Set Seven
CAMBRIDGE Entrance
Back
Practice Set Thirty Three
Practice Set One
Practice Set Two
Practice Set Three
Practice Set Four
Practice Set Five
Practice Set Six
Close Menu
USA Guide
Introduction
Application
Todo in high school
Opportunity fund
Building application
Eca opportunities
English proficiency tests
Sat resources
Scholarships hunt
Visa process
Visa interview day
Prepare to fly
Gap year
Success stories
Know colleges
News
Close Menu
Let's MCQ
More
New Question
Close Menu
Log in with Google
or
Log in with email
Sign up with email
Sets, Real Number System and Logic
Function
Curve Sketching
Sequence and Series
Matrices and Determinant
Complex Number
Trigonometry
Analytic Geometry
Conic section: Circle and Parabola
Vectors
Statistics and Probability
Limits and Continuity
Derivatives and its Application
Antiderivatives and its Application
Linear Programming
Numerical Computations
Statics
Dynamics
Mathematics for Economic and Finance
Pastpapers
Close Menu
23 Maths -- Antiderivatives and its Application
Find the indefinite integral of ∫dx/(x2 (x2−a2)½
Find the
indefinite integral of
∫dx/(x
2
(x
2
−a
2
)
½
0
Happy
Submit Answer
1
Answers
1250
Views
0 Happy
More questions on Antiderivatives and its Application
Bikash T. Magar
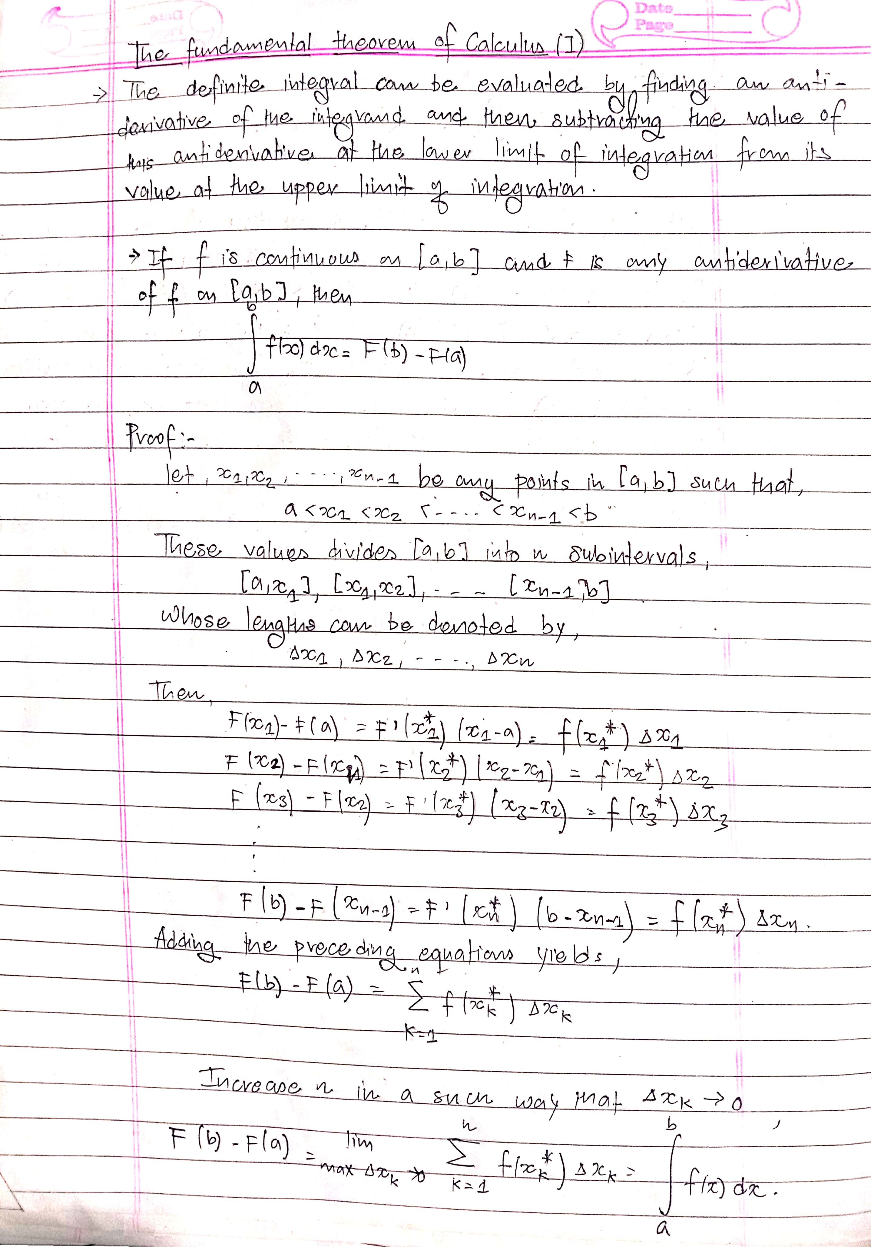
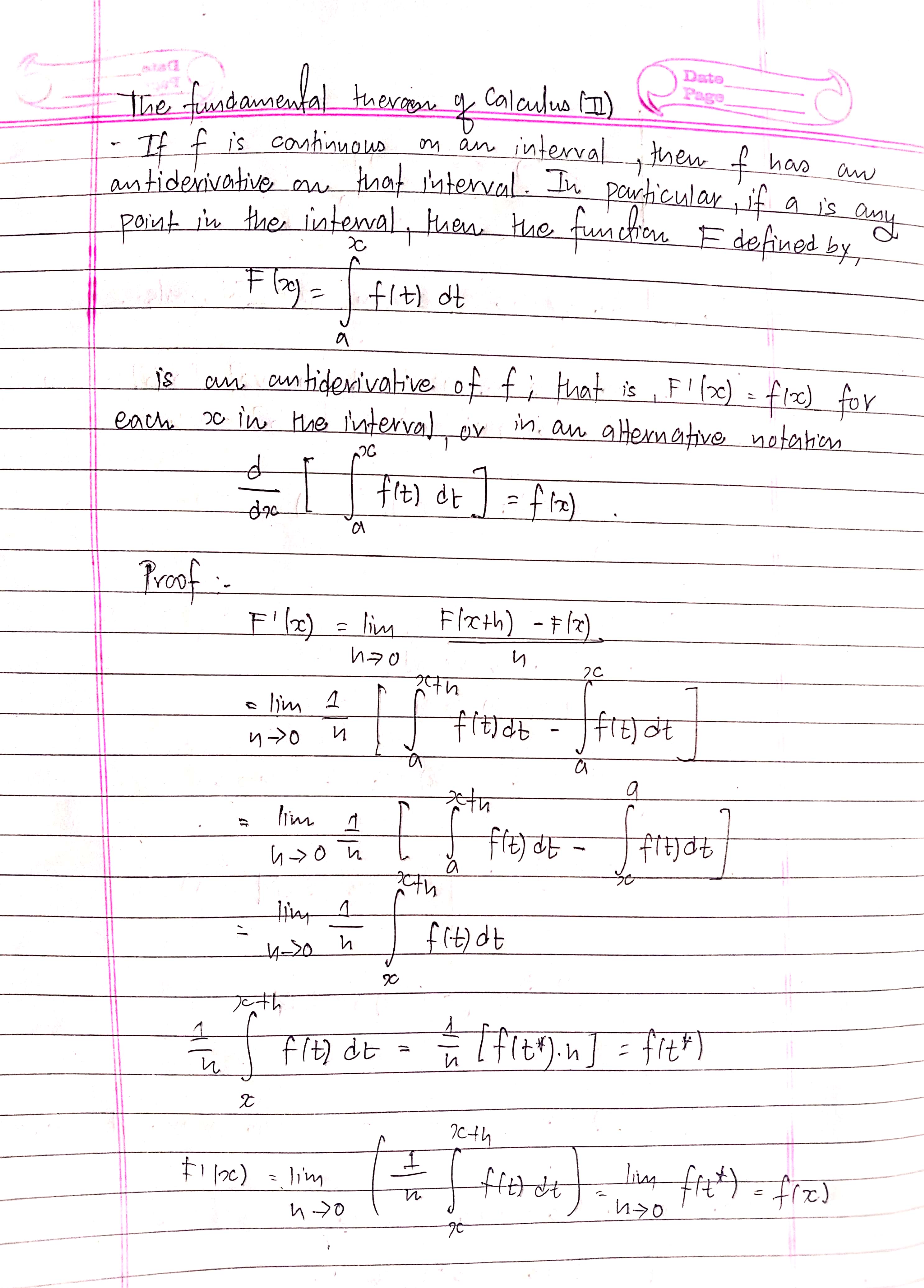
State and prove Fundamental Theorem of Calculus?
Bikash T. Magar
State and prove Mean Value theorem of Calculus?
Bivasha Pokhrel
Find the indefinite integral of ∫(x3/4+x1/2+4x1/3).dx
Bivasha Pokhrel
Find the indefinite integral of ∫(x2+3x+3)/(x+1).dx
Bivasha Pokhrel
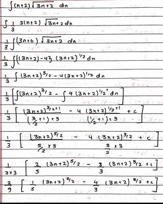
Find the indefinite integral of ∫(x+2) (3x+2)½.dx
Bivasha Pokhrel
Find the indefinite integral of ∫dx/(1−sinax)
Bivasha Pokhrel
Find the indefinite integral of ∫esinxcosx.cos2x.dx
Bivasha Pokhrel
Find the indefinite integral of ∫sec x.dx
Bivasha Pokhrel
Find the indefinite integral of ∫xlog(x−1) .dx
Bivasha Pokhrel
Find the definite integral of 0∫a (a2−x2)½.dx
gaurab giri
The area of the region bounded by y=|x-2| and y=1 is:
1sq. unit
Arya Jha
∫1/(cos2x sin2x)dx
Arya Jha
∫tan3x dx
Arya Jha
∫ (ex-1)/(ex+1) dx
Arya Jha
∫dx/(a2-x2)3/2
Arya Jha
∫sec3x dx
Arya Jha
∫x log (x-1) dx
Arya Jha
Find the area of the circle:x2+y2=16
Arya Jha
Find the area bounded by y-axis, the curve x2=4a(y-2a) and y=6a
Close
Open App