Nuclear binding energy
Nuclear binding energy is the minimum energy that would be required to disassemble the nucleus of an atom into its component parts. These component parts are...
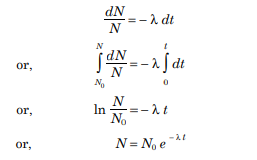
Suppose there are N active nuclei at an instant t. How many of these nuclei will decay in the next small time interval dt ? The number will be proportional to N and to dt. Each active nucleus has a chance to decay in time interval dt. So, more the number of active nuclei at time t, more will decay in the next dt. Similarly, if you take dt slightly longer, more nuclei will decay in dt because each nucleus will have an increased chance of decaying. Thus
dN = − λ Ndt ----------------------------------(1)
The minus sign is used because the number of active nuclei is decreasing. The constant of proportionality λ is called decay constant and is a constant for a given decay scheme. From equation (1),

where N0 is the number of active nuclei at t = 0. Also from (1), the rate of decay is'

The quantity
gives the number of decays per unit time and is called the activity of the sample. Thus, the activity of a radioactive sample is A = λN.
Hence,

Unit of Activity:
The activity of a radioactive material is measured in terms of the disintegrations per unit time. Its SI unit is becquerel which is the same as 1 disintegration per second. It is denoted by the symbol Bq. However, the popular unit of activity is curie defined as 1 curie = 3. 7 × 10 10 disintegrations s −1 . The unit ‘curie’ is represented by the symbol Ci. The activity per unit mass is called specific activity.
Half life:
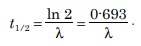
The time elapsed before half the active nuclei decay is called half-life and is denoted by t1/2. Suppose there are N0 active nuclei at t = 0. The half-life t1/2 is the time elapsed before N0 /2 nuclei have decayed and N0 /2 remain active.

This equation relates the decay constant λ and the half-life t1/2.
Average life:
Consider a sample containing N0 radioactive nuclei at time t = 0. The number of nuclei which decay between the time t and t + dt is λN dt. The life of these nuclei is approximately t each. The sum of the lives of these dN nuclei is t λN dt. The sum of all the lives of all the N nuclei that were active at t = 0 will be

Since:
