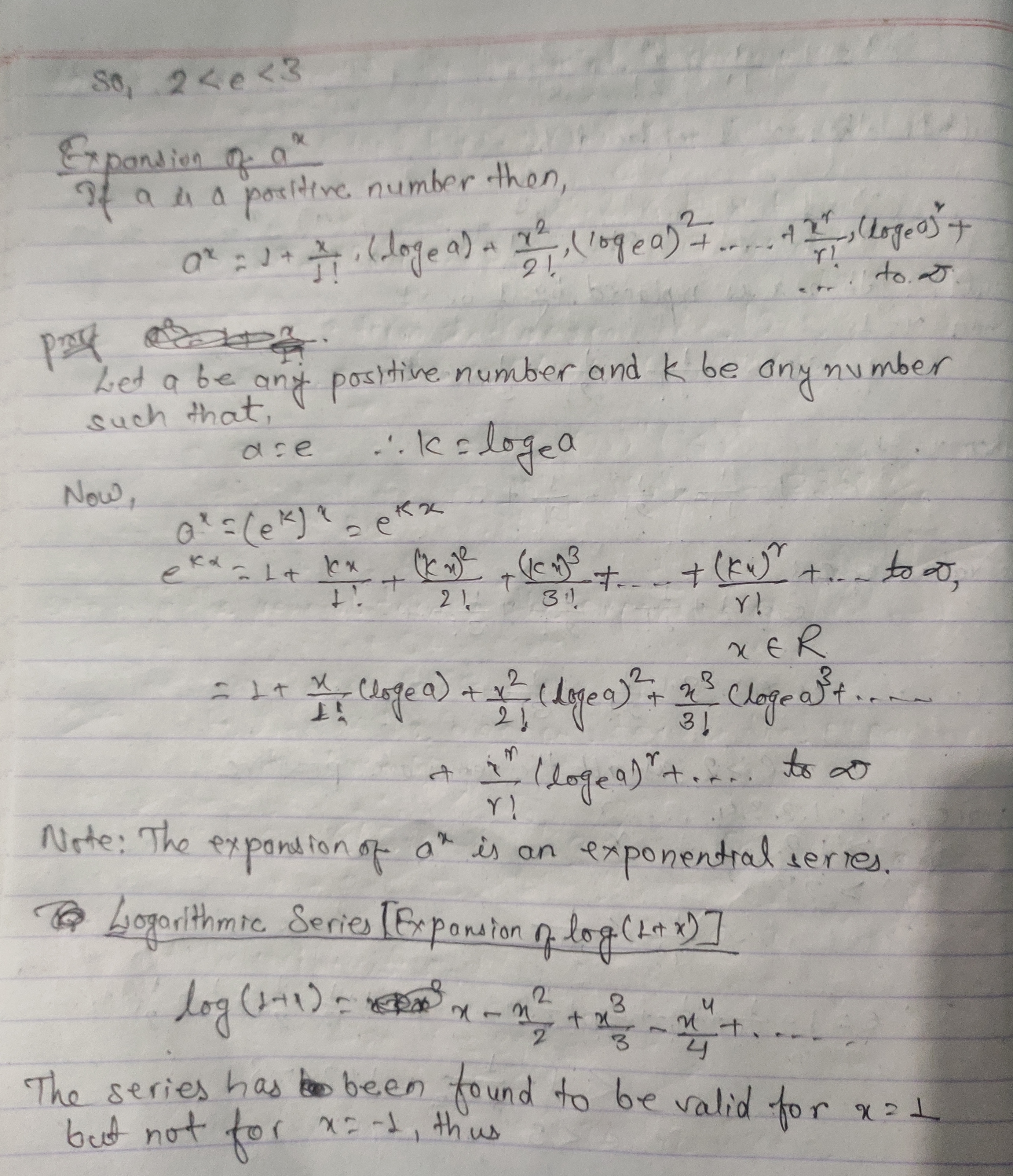
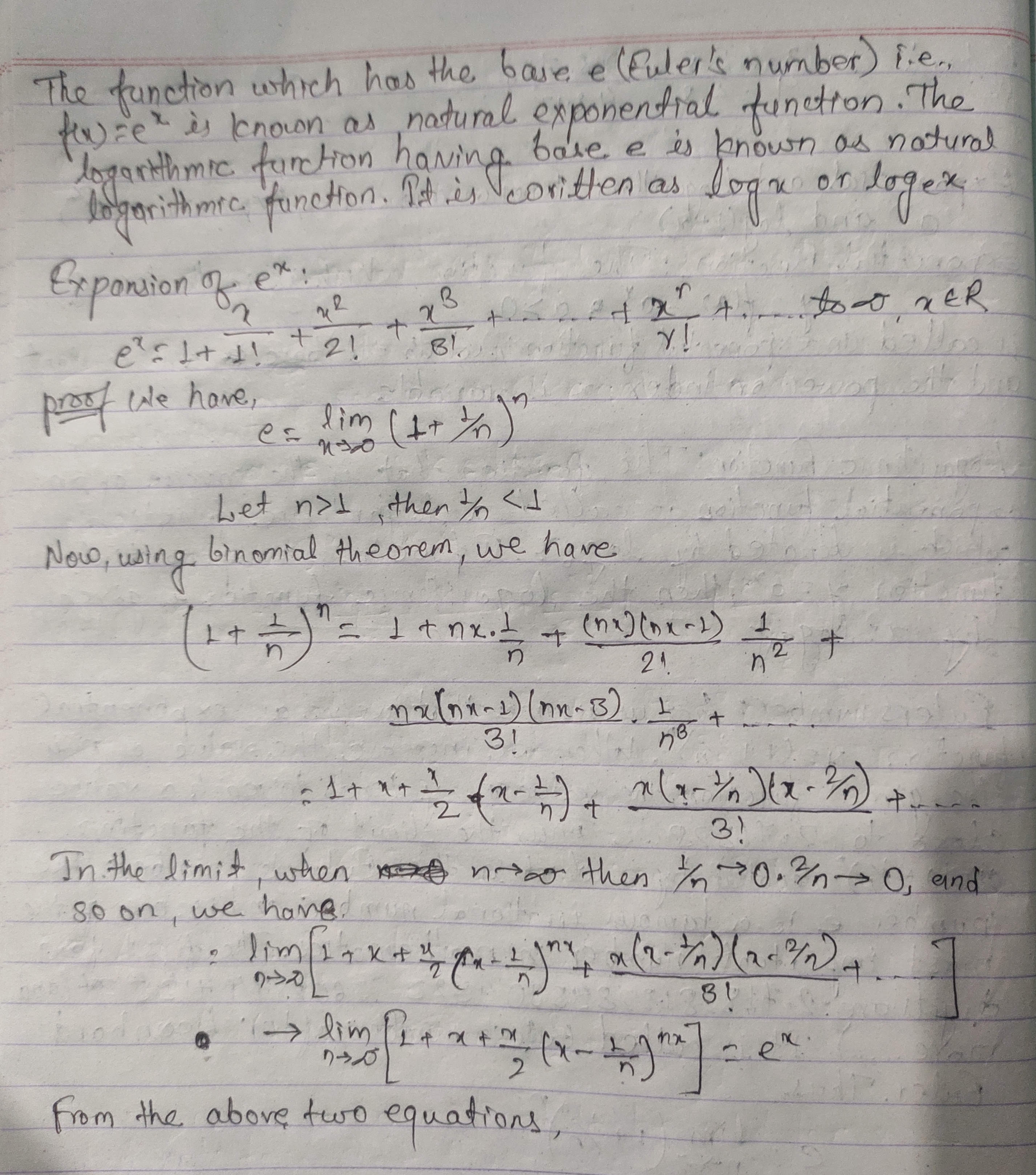
ask mattrab Visit www.askmattrab.com for more academic resources.
Please Log In to ask your question.