or

1 Physics -- Electrons

ask mattrab Visit www.askmattrab.com for more academic resources.

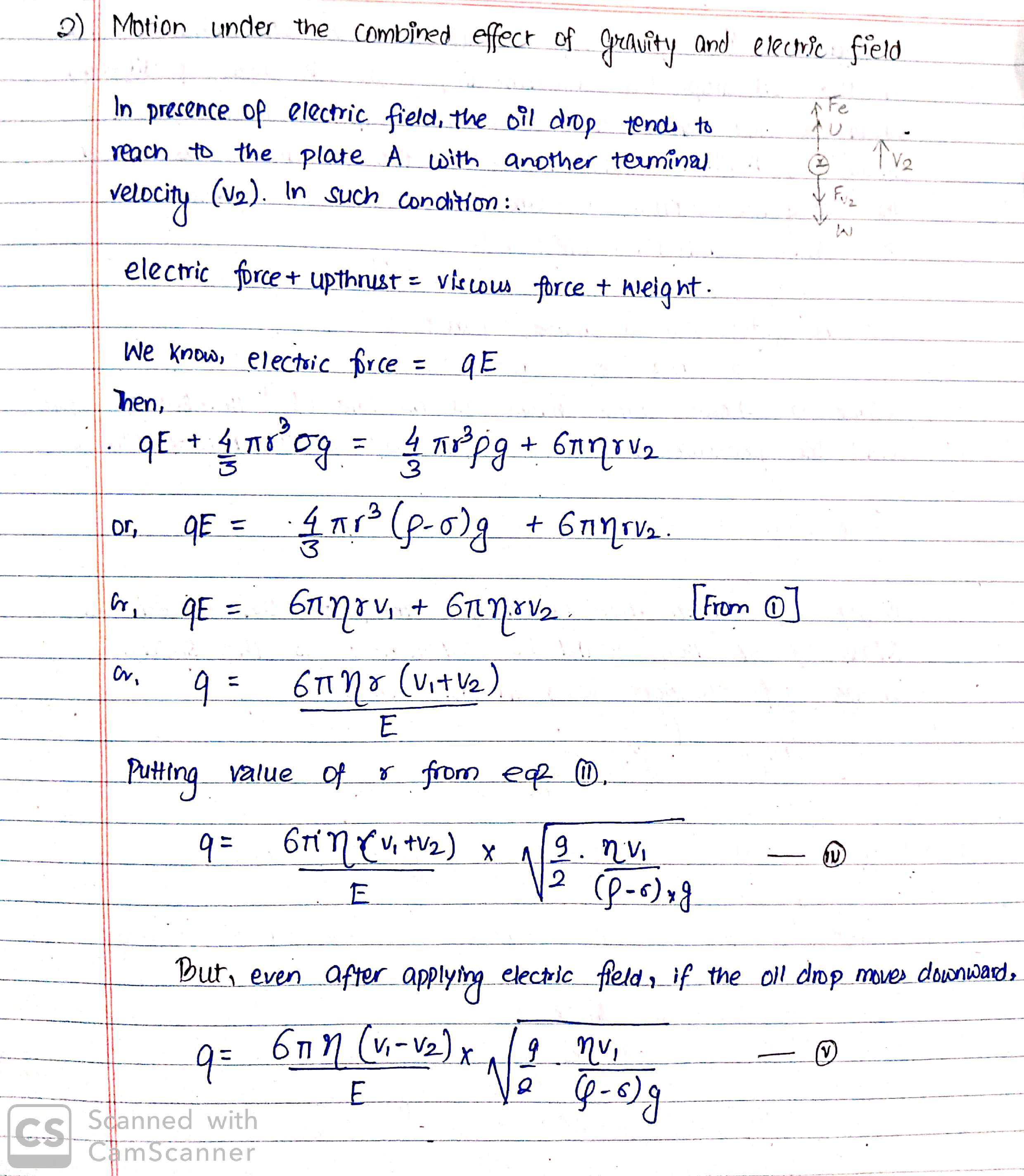
Milikan Oil Drop Experiment


Discussions

More notes on Electrons

Close Open App