NEB Grade 12 Physics model question with solution
Grade 12 Physics model Question and its Solution (New Syllabus)
Group A: Multiple Choice Questions (11 × 1 =11)
1. Which of the following is a correct formula for calculating the radius of gyration of a rotating object?
a) k²= 1/m
b) k= 1/m
c) k= m/l
d) k = (1/m)2
2. A horizontal stream of air is blown under one of the pans of a beam balance, as shown in the figure. What will be the effect of this on the pan?

a) goes up
b) goes down
c) remains unaffected
d) rotates
3. What will be the height of a capillary on the surface of the Moon if it is “h” on Earth?
a) h
b) h/6
c) 6h
d) zero
4. What is the coefficient of performance of an ideal refrigerator, working between ice point and room temperature (27 °C)?
a) O
b) 0.1
c) 1
d) 10
5. A thermodynamic system is taken from A to B via C and then returned to A via D as shown in the p-V diagram. The area of which segment of the graph represents the total work done by the system?

a) P1ACBP2P1
b) ACBB'A'A
c) ACBDA
d) ADBB'A'A
6. Which one of the following directly affects the quality of sound?
a) shape of the source
b) frequency
c) intensity
d) wave form
7. A diffraction pattern is obtained using a beam of red light. What will be the effect on the diffraction pattern if the red light is replaced with white light?
a) All bright fringes become white.
b) All bright fringes, except the central one, become white.
c) All bright fringes become colourful.
d) All bright fringes, except the central one, become colourful.
8. In which one of the following diagrams the currents are related by the equation I1-I2 = I3-I4?

Correct answer is b.
9. A coil having N turns and cross-section area A carries current I. Which physical quantity does the product NIA represent?
a) magnetic flux of the coil
b) magnetic flux density of the coil
c) magnetic moment of the coil
d) magnetic susceptibility of the coil
10. What happens to the neutral temperature if the cold junction of a thermocouple is decreased?
a) increases
b) decreases
c) remains the same
d) approaches inversion temperature
11. What is the point where the seismic waves start, called?
a) epicentre
b) hypocentre
c) metacentre
d) seismic centre
GROUP 'B' Short Answer Questions (8 × 5 = 40)
1. (i) Define surface tension. [1]
Ans: The property of a liquid by virtue of which its surface behaves like a stretched membrane and tries to occupy minimum possible surface area is called surface tension. Mathematically, surface is the force per unit length of an imaginary line drawn in the plane of the liquid surface, acting at right angles to this line. Mathematically, it is given by:
Surface tension, T =F/l
(ii) Establish a relation between surface tension and surface energy of a liquid. [2]
Ans: Numerically, surface tension T is equal to surface energy.
Derivation:
Let's consider a rectangular frame of wire ABCD having a length of l as shown in the figure where wire BC is movable. While dipping the frame in a soap solution, a thin film is formed which pulls the wire BC towards the left due to surface tension. Let T is the surface tension of the film then the force F on BC due to surface tension is given by,
F = T × 2l
As the film has two surfaces in contact with air, so the total length of the wire BC is 2l.
Now, suppose the wire is moved to B'C' having distance x against surface tension force F so that the surface area of the film increase. So, work done in increasing surface area against F is given by,
Work done = F × distance
= T × 2lx
where 2l is increase in surface area.
Surface energy = Work done in increasing S.A Increase in S.A = T × 2lx 2lx = T
Thus, surface tension T is numerically equal to surface energy.
(iii) Two spherical raindrops of equal size are falling vertically through the air with a certain terminal velocity. If these two drops were to coalesce to form a single drop and fall with a new terminal velocity, explain how the terminal velocity of the new drop compares to the original terminal velocity. [2]
Ans: Terminal velocity is directly proportional to the square of the radius of the spherical body.
Let, r be the radius of small raindrops and R the radius of a large drop.
Equating the volumes, we have,

So, the terminal velocity of the larger drop is 1.587 times or cube root of four times the velocity of the original terminal velocity
2. Angular speed of a rotating body is inversely proportional to its moment of inertia.
(i) Define "moment of inertia". [1]
Ans: Moment of inertia of the rigid body about a given axis of rotation is defined as the sum of the product of the masses of the various particles and square of their perpendicular distances from the axis of rotation.
(ii) Explain why angular velocity of the Earth increases when it comes closer to the Sun in its orbit. [2]
Ans: When the earth comes closer to the sun, its moment of inertia about the axis through the sun decreases. To conserve the angular momentum (L= Iw), the angular velocity of the earth increases.
(iii) If the Earth were to shrink suddenly, what would happen to the length of the day? Give reason. [2]
Ans: If the earth were to shrink suddenly, its radius R would decrease. The moment of inertia of the earth [I = (2/5)MR2] would decrease. As no external torque is acting on earth, its angular momentum [L = lw = I × (2π/T)] remains constant. As I decreases, T must decrease. Hence the length of the day will decrease.
OR
(i) State Bernoulli principle. [1]
Ans: Bernoulli principle states that" the total energy (sum of the pressure energy, potential energy, kinetic energy) per unit mass remains constant at every cross-section throughout the flow.
(ii) Derive Bernoulli"s equation. [2]
Proof:
Let us consider a tube AB of varying cross-sectional area through which an ideal liquid is in stream-line flow. Let P₁, a₁, h₁, v₁ and P2, a2, h₂, v₂ be the pressure, area of cross-section, height and velocity of the flow at points A and B respectively.
Now,
Work done on the liquid due to the force P₁a1= Force × displacement
= P₁a₁V₁∆t
Work done by the fluid against pressure P2 = P2a2v₂∆t
So, the net-work done on the liquid by the pressure energy in moving liquid from A to B is:

Thus, work done by pressure energy on the liquid increases the kinetic energy and potential energy of the liquid when it flows from A to B.
So, increase in P.E. of the liquid= mgh₂-mgh₁
Also, increase in K.E. of the liquid = (1/2)mv₂² - (1/2)mv₁²
According to the work-energy theorem, Work done by pressure energy = increase in K.E + Increase in P.E.

(iii) You can squirt water from a garden hose a considerably greater distance by partially covering the opening with your thumb. Explain how this works. [4]
Ans: From the equation of continuity,
A₁V₁ = A₂V/₂
or, AV = constant
or, A = 1/V
From above it is clear that the speed of flow of water is inversely proportional to the cross sectional area. So, when the thumb is placed at the opening, the cross-sectional area is decreased which increases the speed of the flow of the water. So, it covers a greater distance.
3. (i) Define "harmonics" in music. [1]
Ans: The sound wave having a frequency that is an integral multiple of a fundamental tone is called harmonics.
(ii) Calculate the frequency of a monotonous sound produced by a 30 cm long flute open at both ends and being played in the first harmonic. [Velocity of sound in air= 330 ms-1] [2]
Solution:
Given,
Length of flute (open organ pipe), L = 30cm = 0.3m Velocity of sound in air (V) = 330m/s
The frequency of the first harmonic (fundamental tone) is given by:
f = V/2l
or, f = 330/(2×0.3)
So, f = 550 Hz
(iii) The flute mentioned in the question (ii) was being played by a passenger on a stationary bus. The bus then moves uniformly. Explain what change in the pitch of the flute sound, if any, a person sitting on a bench at the bus park will feel when the bus starts moving. [2]
Ans: When the bus starts moving uniformly, the apparent frequency of the sound listened to the stationary person is given by,

From above, it is clear that the apparent frequency of the sound will be low than the actual frequency. So, the person will listen to a sound of low pitch.
4. (i) State the second law of thermodynamics. [1]
Ans: It is impossible by any physical device to cool a body below the coldest body of the surroundings without external work.
(ii) A refrigerator transfers heat from a cold body to hot body. Does this not violate the second law of thermodynamics? Give reason. [2]
Ans: No, it does not violate the second law of thermodynamics. It's because for the heat transfer to take place in the refrigerator, work is done by the compressor which means some external force is applied. Thus, it does not violate the 2nd law of thermodynamics.
(iii) In the given figure, a heat engine absorbs Q1 amount of heat from a source at temperature T₁ and rejects Q₂ amount of heat to a sink at temperature T2 doing some external work W.

(a) Obtain an expression for the efficiency of this heat engine. [1]
Solution:
Efficiency of heat engine is given by:

(b) Under what condition does the efficiency of such engine become zero percentage, if at all? [1]
Ans: For efficiency to become zero,
1 - Q2/Q₁ = 0
or, Q2/Q₁ = 1
So, Q1= Q2
5. A student wants to measure the magnetic flux density between the poles of two weak bar magnets mounted on a steel yoke as shown in the figure. The magnitude of the flux density is between 0.02T and 0.04T.
(i) Define Magnetic flux density. [1]
Ans: The number of magnetic lines of force per unit normal area is called magnetic flux density.
(ii) One way of measuring the magnetic flux density could be the use of a Hall probe. Suggest one reason why Hall probe is not a suitable instrument to measure the magnetic flux density for the arrangement shown in the below figure. [1]
Ans: Hall probe is sensitive enough to measure which could even measure the Earth's magnetic flux density, resulting in inaccurate magnetic flux density. Therefore, it is not suitable to measure the magnetic flux density for the arrangement below.
6. (a) Law of electromagnetic induction can be expressed mathematically as ε = -N(do/dt).
(i) State what the symbols & and do/dt represent in the equation. [2]
Ans: In the law of electromagnetic induction, e represents the induced emf and dQ/dt represents the rate of change of magnetic flux.
(ii) Explain the significance of the negative sign. [1]
Ans: The -ve sign indicates that the induced emf always opposes the change of magnetic flux.
(iii) Two identical copper balls are dropped from the same height as shown in the figure. Ball P passes through a region of uniform horizontal magnetic filed of flux density B.

Explain why ball P takes longer than ball Q to reach the ground. [2]
Ans: When the ball P passes through a region of a uniform horizontal magnetic field of flux density B, there is a change in the magnetic field due to which flux changes (flux = BA). So, due to change in the flux, emf is induced and by Lenz's law, current flows in the direction which opposes the change in the magnetic field.
So, the force due to this induced magnetic field opposes the motion of the ball. Therefore, the net acceleration of fall is less than g. Thus, P takes more time than ball Q to reach the ground.
7. Ultraviolet radiation of frequency 1.5 × 1015 Hz is incident on the surface of an aluminium plate whose work function is 6.6 × 10 - 19 J.
(i) Show that the maximum speed of the electrons emitted from the surface of the aluminium is 8.6 x 105 m/s. [3]
Solution:
Given,
Frequency (f) = 1.5 × 1015 Hz
Work function of aluminium plate = 6.6 × 10- 19J
Planks constant (h) = 6.62 × 10- 34 kg / s
Now,
From Einstein photoelectric equation, we have,

So, the maximum speed of the electrons emitted from the surface of the aluminium is 8.6 × 105 m/s.
(ii) State and explain what change, if any, occurs to the maximum speed of the emitted electrons when the intensity of the ultraviolet radiation is increased.[2]
Ans: The maximum speed of the emitted electrons remains the same even if the intensity of the ultraviolet radiation is increased because the maximum velocity of the photoelectrons is independent of the intensity of the radiation. However, with higher intensity, the number of emitted electrons can be increased.
8. (i) State Bohr's postulates of the atomic model. [3]
Ans: The postulates of Bohr's atomic model are:
1. Electrons revolve around the nucleus in a defined circular path called orbits. The electrostatic force of attraction between the revolving electron and nucleus is equal to the centrifugal force acting on the electron.
2. As long as the atom remains in a particular orbit, it will neither gain nor lose energy and hence the energy of the electron in a particular orbit remains constant. This means these orbits are non-radiating and thus called stationary state or energy level and designated as K, L, M, N, etc.
3. Only those orbits are permitted in an atom whose angular momentum of the electron is equal to the whole number multiple of h/2π where h is Plank's constant.
Angular momentum (mvr) = nh/2π
Where, m = mass of electron
V= velocity of electron
r = radius of orbit
n = 1, 2, 3, ....
h= Planck's constant = 6.67 x 10 -27 erg sec
4. Energy is emitted or absorbed by the electron in the form of a photon only when it jumps from one energy level to another. The quantum or photon of energy absorbed or emitted is the difference between the higher and lower energy level.
∆E= E₂-E₁ = hv
∆E = energy emitted or absorbed
E2 = higher energy level
E₁ =lower energy level
h= Plank's constant
V=frequency of radiation
Energy is absorbed when an electron jumps from lower to higher energy levels and energy is emitted when an electron jumps from higher to lower energy levels.
(ii) The figure shows the Lyman series of energy transmission in the hydrogen atom. Calculate the frequency of a photon emitted by
an electron jumping from the second excited state to the ground level. [2]
Solution:
Given,
Ground state, n1= 1
Second excited state, n2 = 3
Rydberg constant, R = 1.097 × 10 7 m/s
Speed of light, c = 3 × 108 m/s
Now, the wavelength of the given series is given by:

OR
(i) Sketch the symbol of a p-n junction diode and indicate the polarity of its ends. [1]
Ans: The symbol of a p-n junction diode is:

(ii) Copy the outline of a diode bridge rectifier and complete it by adding diodes in the gaps. [2]
Ans:

Section C: Long Answer Questions. (3 x 8 = 24)
9. Earthquake sets rocks and buildings in motion. When a rock is subjected to compression, a restoring force develops inside it. This restoring force is given by an equation F= -Ax, where x is displacement and A is a constant. (i) Prove that this force will make the rock vibrate with simple harmonic motion. [2]
Solution:
Given, F = -Ax
where f is restoring force, A is a constant and, x is the displacement.
Ss,
ma= -Ax
or, a is proportional to x
From above, it is clear that acceleration is directly proportional to the displacement which indicates that the force will make the rock vibrate with simple harmonic motion.
(ii) Show that the speed of an object undergoing simple harmonic motion is given by the expression v = ±w√(A²-x²) where the symbols carry standard meanings. [2]
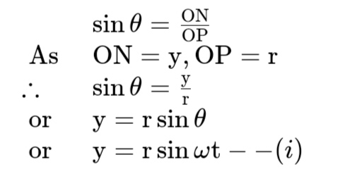
Solution:
Let us consider a particle moving around a circle of radius r with a uniform angular velocity (w) in the anticlockwise direction. Let at any time t, the position of the particle is P and angular displacement is 0. From fig,

where 0 = wt. This is the equation for displacement in SHM. Rate of change of displacement with respect to time is called velocity. So, velocity is given by,

(iii) Calculate the maximum speed of a building shaken by S-waves of 21Hz and amplitude 0.05m. [2]
Solution:
Given,
Frequency of wave, f= 21Hz
Amplitude of wave, A = 0.05m Now, the velocity of the particle executing SHM is given by,
v=Aw coswt
For velocity (speed) to be maximum, coswt should be 1.
Ss,
Vmax = Aw
or, Vmax = A x 2π f
or, Vmax = 0.05 × 2π × 21
So, Vmax = 6.6 m/s
(iv) Explain why tall buildings are more susceptible to damage by S-waves which generally have a low frequency. [2]
Ans: Tall buildings have a lower natural resonant frequency than short buildings. Also, seismic waves have low frequency and when it meets with the natural low frequency of tall buildings, then resonance occurs which results in vibration of building with a maximum amplitude which may result in the collapse of the building. Therefore, tall buildings are more susceptible to damage by S waves which generally have a low frequency.
10. A student sets up a circuit as shown in the figure given below to measure the emf of a test cell.
i. Explain why he is unable to find a balance point and state the change he must make in order to achieve the balance.[2]
Ans: The student is unable to find a balance point because he has used a voltmeter in place of the galvanometer which can only measure the potential difference. To achieve the balance, the student must place a galvanometer in place of the voltmeter.
ii. State how he would recognize the balance point. [1]
Ans: He would recognize the balance point by observing null deflection on the galvanometer after sliding jockey on the wire.
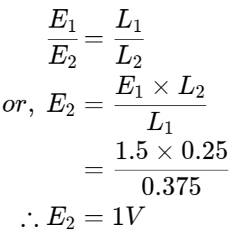
iii. He obtained the balance point for distance 37.5cm using a standard cell of emf 1.50V. And for the test cell, the balance distance AB was 25.0 cm. Calculate the emf of the test cell. [2] Solution:
Given,
Emf of standard cell, E₁= 1.5V
Distance for potentiometer, L₁= 37.5cm=0.375m
Distance for test cell, L₂= 25cm= 0.25m
Emf of the test cell = ?
Now, comparing emf, we get,

Thus the emf of the cell is 1V.
iv. He could have used an ordinary voltmeter to measure the emf of the test cell directly. The student, however, argues that the above instrument is more precise than an ordinary voltmeter. Justify his logic. [2]
Ans: The above instrument is more precise than an ordinary voltmeter because the voltmeter has its own resistance due to which it withdraws a certain amount of current coming from the driving cell. So, exact emf cannot be measured. On the contrary, the potentiometer does not withdraw any current coming from the cell because of which actual p.d or emf can be measured.
11. (a) Explain what is meant by quantization of charge. [2]
Ans: Quantization of charge means that the charge only exists in discrete values. That means the value of charge will be the integral multiple of e (1.6 x 10-19C).
q=ne where, n = 0, 1, 2, -1, -2...
So, charge cannot have any values between integers.
(b) In a Millikan"s oil drop experiment, an oil drop of weight 1.5 x 10-14N is held stationary between plates 10mm apart by applying a p.d. of 470V between the plates.
(i) State the condition necessary for the drop to remain stationary. Also, sketch the forces acting on the oil drop. [2]
Ans: For the drop to remain stationary, the amount of upward electric force should equal the downward gravitational force, i.e.
Fe = Fg
or, qE = mg
(ii) Calculate the charge on the oil drop. [2] Solution:
Given,
Weight of drop, W = 1.5 * 10 ^ - 14 * N
Distance between plates, d = 10mm = 10 * 10 ^ - 3 * m P.d., V = 470V
Since the drop is stationary between the plates, the electrical force is balanced by the weight of the drop, i.e,

Thus, the charge on the drop is 3.19 × 10 - 19 C
OR
(a) Derive an expression N= Noe-t for a radioactive process where the symbols carry their standard meanings. [3]
Proof:
Let, No be the total number of atoms present originally in a sample at time t=0. N be the total number of atoms left undecayed in the sample at time t. dN be the small number of atoms that disintegrate in a small interval of time dt.
Now, according to decay law,


(b) A student measured the activity of a sample of radioactive rock. Her results are presented in the graph.

(i) Explain why the data are scattered. [1]
Ans: The data are scattered because radioactive decay is a random process and the rate of disintegration decreases with an increase in time.