Concept of Production Function
Production:Production is the process of creating utility in goods and services or process of transforming inputs into output. Concept of Production Function:In simple words, production functio... 
Average product is per unit product of the variable factor. In other words, average product is obtained by dividing total product by the total units of variable factor used. Thus,
AP= TP/L
Where,
AP= Average Product 
TP= Total Product
L= Labour 
Marginal Product is the change in the total product due to change in the variable facto. In other words, marginal product is the addition to the total product by the employment of an additional unit of variable factor.
MP= TPn - TPn-1 
Where,
MP= Marginal Product
n= Number of labour units
TP= Total Product 
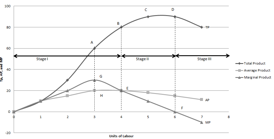
The relationship between AP and MP can be explained with the help of the following table and figure :
| Units of Labour(L) | Total Product(TP) | Average Product(AP) | Marginal Product(MP) | 
| 0 | 0 | 0 | 0 | 
| 1 | 10 | 10 | 10 | 
| 2 | 30 | 15 | 20 | 
| 3 | 60 | 20 | 30 | 
| 4 | 80 | 20 | 20 | 
| 5 | 90 | 18 | 10 | 
| 6 | 90 | 15 | 0 | 
| 7 | 80 | 11.4 | -10 | 
 As shown in the above table and figure, the relationship between AP and MP can be summarized as,
 As shown in the above table and figure, the relationship between AP and MP can be summarized as,