or

23 Maths -- Antiderivatives and its Application

ask mattrab Visit www.askmattrab.com for more academic resources.

Antiderivatives

Antiderivatives

The reversed process of differentiation is known as integration. If f(x)

And F (x) are functions such that F(x) = f(x) then 

Where c is known as the constant of integration.

Standard result


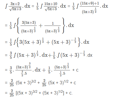
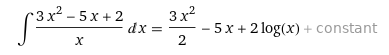
Examples

1


2


3









 

 

 

 

Discussions

More notes on Antiderivatives and its Application

Close Open App