Introduction of Alternating Current
What is Alternating Current?Alternating current can be defined as a current that changes its magnitude and polarity at regular interval of time. It can also be defined as an electrical current whic...

An electric field is a physical field that surrounds an electrically charged particle and exerts force on all other charged particles on the field.
Let us consider an electron of charge e and mass m moving with uniform velocity v along horizontal. Now the electron enters inside the vertical electric field then it gets deflected (gains force). If E is the electric field, then force experienced by electron is: -
F = e × E.........1)
Due to this force, it deflects and moves in curve path inside the field. If a is the acceleration produced on the electron, then from Newton’s second Law of Motion,
F = m × a...........2)
From 1) and 2)
e × E = m × a

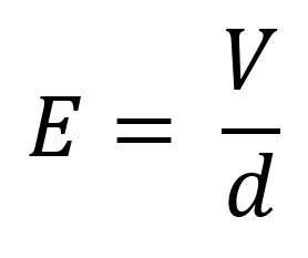
If V and d and potential difference and distance between the plates (electrodes) respectively then;
  
So, we obtain:
...............3)
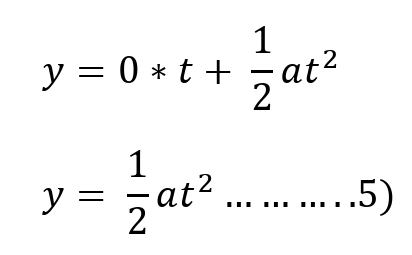
Suppose the electron reaches at certain point in curved path after time t, so that it travels horizontal distance x and vertical distance y. Here x is travelled due to horizontal velocity Vx which is uniform due to the lack of air resistance and y is travelled due to vertical velocity Vy which is not uniform because of vertical electric field. So, the motion of electron is same as that of projectile motion. Now for horizontal velocity:

Now, for vertical velocity:

From 4) and 5),

This equation is in the form of parabola i.e. y = k x2 ( k is a constant). Hence, the electron moves inside parabolic path in the electric field.