Carbohydrates
Carbohydrates are the organic compounds i.e. essential biomolecules composed of carbon ,hydrogen and oxygen. The hydrogen and oxygen are in the ratio of 2:1 so they are also called "Hydrates of C...
Nucleic acids are the complex long-chained organic compounds larger than most of the proteins and are composed of C, H, O, N and P. They are the macromolecules made up of of nucleotides.
So we can define nucleic acids as nitrogenous non- portentous organic compounds which are the polymers of nucleotides joined together by phosphodiester bond.
There are basically two types of nucleic acids. They are:
Each nucleotide is composed of three components they are
Pentose Sugar
Pentose Sugars are the monosaccharides composed of five carbon atoms.
For two types of nucleic acids, two different types of pentose Sugar are present.

Ribonucleic acid (RNA) contains ribose sugar and Deoxyribonucleic acid (DNA) contains deoxyribose sugar.
One oxygen molecule is lacking in carbon no.2 of ribose sugar to form deoxyribose sugar.
Nitrogen Bases
Two major types of nitrogen bases are found in nucleic acids. They are:
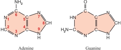
Purine

Purines are the nitrogen bases having two carbon nitrogen ring in the structure. Purines are Adenine(A) and Guanine (G). They are bound in both RNA as well as DNA.
Pyrimidine

These have only one carbon nitrogen ring in their structure. Pyrimidine bases found in nucleic acids are:
Phosphoric acid

It contains phosphate group. It combines two nucleotides by a phosphodiester bond.
Formation of Nucleotides
A nucleotide is formed by a combination of a sugar, a base and a phosphoric acid

A nucleoside is formed by a combination of nitrogen base and sugar. So, we can also say that nucleotide is the combination of nucleoside and phosphate molecule.
To sum up, nucleic acids are the polymers of nucleotides and they include DNA and RNA which are the genetic information carriers.