Newton's Method of Finding Square Root
Let x2 = a and f(x) = x2 – a. Here we know the root exactly, so we can see better how well the method converges. We have,This relation is known as Newton's iteration equation. ⁕ ...
↪ The Newton-Raphson’s Method or Newton’s Method is a powerful technique for solving
equations numerically.
↪ Let f(x) be a well-behaved function and let x be a root of the equation f(x) = 0. We start
with an estimate x0 of x. From x0, we produce an improved estimate x1. From x1 we
produced a new estimate x2. From x2, we produce a new estimate x3. We go on until we
are close enough to r or until it becomes clear that we are getting nowhere. The above
general style of proceeding is called iterative. Of the many iterative root finding
procedures, the Newton Raphson’s Method, with its combination of simplicity and power,
is most widely used.
⁕ NEWTON RAPHSON’S ITERATION
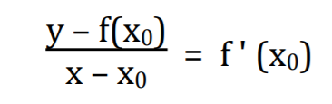
↪ Let f(x) = 0 be an equation and x be its root. Let x0 be a good estimate of x then for a
point (x, y) sufficiently close to it the function can be approximated by its tangent line.

↪ This tangent line crosses the x-axis when y = 0. Denote this new value of x by x1
↪ This x intercept gives a better approximation to the function's root than the original
guess.
↪ Continue in this way, if xn is the current estimate, then the next estimate xn + 1
is given by
